本公司董事会及全体董事保证本公告内容不存在任何虚假记载、误导性陈述或者重大遗漏,并对其内容的真实性、准确性和完整性承担法律责任。
重要内容提示:
公司董事会、监事会及董事、监事、高级管理人员保证季度报告内容的真实、准确、完整,不存在虚假记载、误导性陈述或重大遗漏,并承担个别和连带的法律责任。
公司负责人、主管会计工作负责人及会计机构负责人(会计主管人员)保证季度报告中财务信息的真实、准确、完整。
第三季度财务报表是否经审计
□是 √否
一、 主要财务数据
(一)主要会计数据和财务指标
单位:元 币种:人民币
注:“本报告期”指本季度初至本季度末3个月期间,下同。
(二)非经常性损益项目和金额
单位:元 币种:人民币
将《公开发行证券的公司信息披露解释性公告第1号一一非经常性损益》中列举的非经常性损益项目界定为经常性损益项目的情况说明
□适用 √不适用
(三)主要会计数据、财务指标发生变动的情况、原因
√适用 □不适用
二、 股东信息
(一)普通股股东总数和表决权恢复的优先股股东数量及前十名股东持股情况表
单位:股
三、 其他提醒事项
需提醒投资者关注的关于公司报告期经营情况的其他重要信息
√适用 □不适用
2023年7月28日,公司召开第四届董事会第三十次会议,审议通过了《关于公司对外投资设立合资公司的议案》。为顺应数字经济浪潮,步入数字能源算力融合新赛道,公司与上海六尺科技集团有限公司(以下简称“上海六尺”)共同出资设立上海润六尺科技有限公司(以下简称“上海润六尺”),计划于上海、福州经开区、安徽芜湖、山东济宁等地合作建立算力中心,并打造长三角GPU算力中心集群。合资公司注册资本为人民币10,000万元,其中公司认缴出资额为人民币5,100万元,占合资公司注册资本的51%;上海六尺认缴出资额为人民币4,900万元,占合资公司注册资本的49%。
2023年9月25日,公司召开第四届董事会第三十三次会议,审议通过了《关于签署〈合资经营合同之补充协议〉暨关联交易的议案》,独立董事已发表事前认可意见和独立意见。公司与上海六尺签署了《合资经营合同之补充协议》,双方就上海润六尺达成一定业绩目标的前提下,上海六尺同意公司收购全部或部分目标股权相关事宜作出补充约定。
截止2023年9月30日,上海润六尺率先跑通算力租赁全链条,已经完成千匹智算集群搭建,开始首批交付,并在第三季度产生营业收入132.17万元。公司核心团队具有丰富的AI智算中心(GPU算力)建设、运营经验和算力市场资源。上海润六尺团队深耕GPU算力多年,与上游GPU高端智算供应厂商有深度合作关系。上海润六尺目标凭借其资深的技术实力,为客户提供优质的服务,推动数字化及人工智能产业的发展。
四、 季度财务报表
(一)审计意见类型
□适用 √不适用
(二)财务报表
合并资产负债表
2023年9月30日
编制单位:江阴市恒润重工股份有限公司
单位:元 币种:人民币 审计类型:未经审计
公司负责人:承立新 主管会计工作负责人:顾学俭 会计机构负责人:张瑜
合并利润表
2023年1一9月
编制单位:江阴市恒润重工股份有限公司
单位:元 币种:人民币 审计类型:未经审计
本期发生同一控制下企业合并的,被合并方在合并前实现的净利润为:0.00元, 上期被合并方实现的净利润为: 0.00 元。
公司负责人:承立新 主管会计工作负责人:顾学俭 会计机构负责人:张瑜
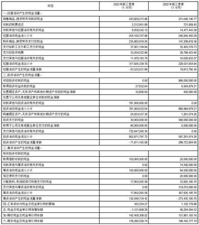
合并现金流量表
2023年1一9月
编制单位:江阴市恒润重工股份有限公司
单位:元 币种:人民币 审计类型:未经审计
公司负责人:承立新 主管会计工作负责人:顾学俭 会计机构负责人:张瑜
母公司资产负债表
2023年9月30日
编制单位:江阴市恒润重工股份有限公司
单位:元 币种:人民币 审计类型:未经审计
公司负责人:承立新 主管会计工作负责人:顾学俭 会计机构负责人:张瑜
母公司利润表
2023年1一9月
编制单位:江阴市恒润重工股份有限公司
单位:元 币种:人民币 审计类型:未经审计
公司负责人:承立新 主管会计工作负责人:顾学俭 会计机构负责人:张瑜
母公司现金流量表
2023年1一9月
编制单位:江阴市恒润重工股份有限公司
单位:元 币种:人民币 审计类型:未经审计
公司负责人:承立新 主管会计工作负责人:顾学俭 会计机构负责人:张瑜
2023年起首次执行新会计准则或准则解释等涉及调整首次执行当年年初的财务报表
□适用 √不适用
特此公告。
江阴市恒润重工股份有限公司董事会
2023年10月25日
证券代码:603985 证券简称:恒润股份 公告编号:2023-073
江阴市恒润重工股份有限公司
第四届董事会第三十四次会议决议公告
本公司董事会及全体董事保证本公告内容不存在任何虚假记载、误导性陈述或者重大遗漏,并对其内容的真实性、准确性和完整性承担个别及连带责任。
一、董事会会议召开情况
江阴市恒润重工股份有限公司(以下简称“公司”)第四届董事会第三十四次会议于2023年10月25日以现场结合通讯表决方式召开,会议通知已于2023年10月21日以书面方式发出,本次应出席董事5人,实际出席董事5人(其中,独立董事鲁晓冬、仇如愚以通讯表决方式出席会议)。会议由公司董事长承立新先生主持,公司监事、高级管理人员列席了本次会议。本次会议召开符合《中华人民共和国公司法》《江阴市恒润重工股份有限公司公司章程》等规范性文件的规定,会议的召集、召开合法有效。
二、董事会会议审议情况
1、审议通过《公司2023年第三季度报告》
表决情况:赞成5票,反对0票,弃权0票。
具体内容详见上海证券交易所网站(www.sse.com.cn)上披露的《江阴市恒润重工股份有限公司2023年第三季度报告》。
2、审议通过《关于使用部分闲置募集资金进行现金管理的议案》
同意公司在确保不影响募集资金投资项目和公司正常经营的情况下,使用部分闲置募集资金(不超过1.50亿元人民币)进行现金管理,适时向各金融机构购买安全性高、流动性好、短期(不超过12个月)的保本型理财产品或保本型结构性存款。以上资金额度自公司董事会审议通过之日起12个月内可以滚动使用,董事会同意授权董事长在上述投资额度内签署相关合同文件,公司财务总监负责组织实施,授权期限为自公司董事会审议通过之日起12个月内。
表决情况:赞成5票,反对0票,弃权0票。
具体内容详见上海证券交易所网站(www.sse.com.cn)上披露的《江阴市恒润重工股份有限公司关于使用部分闲置募集资金进行现金管理的公告》(公告编号:2023-075)。
3、审议通过《关于使用部分闲置自有资金进行现金管理的议案》
同意公司及子公司在确保公司日常资金运营需求和资金安全的前提下,使用部分暂时闲置自有资金(不超过1亿元人民币)进行现金管理,适时向各金融机构购买安全性高、流动性好的理财产品、大额存单或结构性存款。以上资金额度自公司董事会审议通过之日起12个月内可以滚动使用,并授权董事长在上述投资额度内签署相关合同文件,公司财务总监负责组织实施,授权期限为自公司董事会审议通过之日起12个月内。
表决情况:赞成5票,反对0票,弃权0票。
具体内容详见上海证券交易所网站(www.sse.com.cn)上披露的《江阴市恒润重工股份有限公司关于使用部分闲置自有资金进行现金管理的公告》(公告编号:2023-076)。
特此公告。
江阴市恒润重工股份有限公司董事会
2023年10月26日
证券代码:603985 证券简称:恒润股份 公告编号:2023-075
江阴市恒润重工股份有限公司关于使用
部分闲置募集资金进行现金管理的公告
本公司董事会及全体董事保证本公告内容不存在任何虚假记载、误导性陈述或者重大遗漏,并对其内容的真实性、准确性和完整性承担个别及连带责任。
重要内容提示:
● 委托理财受托方:商业银行、证券公司、资产管理公司等金融机构。
● 本次委托理财金额:不超过1.50亿元人民币,在上述额度内公司可滚动使用。
● 委托理财产品名称:安全性高、流动性好、短期(不超过12个月)的保本型理财产品或保本型结构性存款。
● 委托理财期限:自公司董事会审议通过之日起12个月内。
● 履行的审议程序:2023年10月25日,公司召开第四届董事会第三十四次会议,审议通过了《关于使用部分闲置募集资金进行现金管理的议案》,同意公司在确保不影响募集资金投资项目和公司正常经营的情况下,使用部分闲置募集资金(不超过1.50亿元人民币)进行现金管理,以上资金额度自公司董事会审议通过之日起12个月内可以滚动使用,董事会同意授权董事长在上述投资额度内签署相关合同文件,公司财务总监负责组织实施,授权期限为自公司董事会审议通过之日起12个月内。此议案无需提交公司股东大会审议。
江阴市恒润重工股份有限公司(以下简称“公司”或“恒润股份”)于2023年10月25日召开第四届董事会第三十四次会议,审议通过了《关于使用部分闲置募集资金进行现金管理的议案》。在确保不影响募集资金投资项目和公司正常经营的情况下,公司拟使用部分闲置募集资金(不超过1.50亿元人民币)进行现金管理,适时向各金融机构购买安全性高、流动性好、短期(不超过12个月)的保本型理财产品或保本型结构性存款。以上资金额度自公司董事会审议通过之日起12个月内可以滚动使用,董事会同意授权董事长在上述投资额度内签署相关合同文件,公司财务总监负责组织实施,授权期限为自公司董事会审议通过之日起12个月内。
一、本次募集资金基本情况
经中国证券监督管理委员会《关于核准江阴市恒润重工股份有限公司非公开发行股票的批复》(证监许可[2021]2739号)的核准,公司已向济宁城投控股集团有限公司非公开发行人民币普通股(A股)股票74,129,541股,每股发行价格为人民币19.88元,募集资金总额为人民币1,473,695,275.08元,扣除发行费用人民币19,299,515.14元(不含税),实际募集资金净额为人民币1,454,395,759.94元。立信会计师事务所(特殊普通合伙)对本次募集资金到账情况进了审验,并出具了信会师报字[2021]第ZH10278号验资报告。
公司及募集资金投资项目实施主体,即公司全资子公司江阴市恒润环锻有限公司(以下简称“恒润环锻”)、江阴市恒润传动科技有限公司(以下简称“恒润传动”),均已开设了募集资金专项账户,对募集资金采取了专户存储,并与专户开户银行、保荐机构签订了募集资金三方、四方监管协议。
二、募集资金投资项目基本情况
公司本次非公开发行募集资金在扣除发行费用后拟用于“年产5万吨12MW海上风电机组用大型精加工锻件扩能项目”、“年产4,000套大型风电轴承生产线项目”、“年产10万吨齿轮深加工项目”,具体如下:
单位:元
注:2022年6月22日,公司召开第四届董事会第二十四次会议,审议通过《关于调整部分募投项目实施地点、总投资额、内部投资结构和实施进度的议案》,公司对“年产5万吨12MW海上风电机组用大型精加工锻件扩能项目”及“年产10万吨齿轮深加工项目”的投资总金额进行了调整,详见公司于2022年6月23日披露的《关于调整部分募投项目实施地点、总投资额、内部投资结构和实施进度的公告》(公告编号:2022-045)。
三、公司本次使用部分闲置募集资金进行现金管理的基本情况
为提高资金使用效率,公司拟使用闲置募集资金进行现金管理,具体情况如下:
(一)管理目的
在确保不影响募集资金投资计划和保证募集资金安全的前提下,为提高资金使用效率、适当增加收益,更加合理地利用闲置募集资金,公司拟使用部分暂时闲置募集资金进行现金管理,实现公司及全体股东利益最大化。
(二)投资额度和期限
在保证募集资金项目建设和使用的前提下,公司拟使用部分闲置募集资金(不超过1.50亿元人民币)适时进行现金管理,以上资金额度自公司董事会审议通过之日起12个月内可以滚动使用。
(三)投资品种
投资产品品种为安全性高、流动性好、短期(不超过12个月)的保本型理财产品或保本型结构性存款。
(四)实施方式
在上述额度、期限范围内,董事会授权董事长在上述投资额度内签署相关合同文件,公司财务总监负责组织实施,授权期限为自公司董事会审议通过之日起12个月内。
(五)信息披露
公司将按照《上市公司监管指引第2号一一上市公司募集资金管理和使用的监管要求(2022年修订)》《上海证券交易所上市公司自律监管指引第1号一一规范运作(2023年8月修订)》《上海证券交易所股票上市规则(2023年8月修订)》等相关法律法规的规定要求及时披露公司使用部分闲置募集资金进行现金管理的具体情况。
四、风险控制措施
为控制风险,公司将严格遵守审慎投资原则,严格筛选发行主体,选择信誉好、资金安全保障能力强的发行机构。
公司拟投资的品种为安全性高、流动性好、短期(不超过12个月)的保本型理财产品或结构性存款,该类产品的投资风险小,处于公司风险可承受和控制范围之内。
公司将及时分析和跟踪拟投资理财产品的投向进展情况,一旦发现或判断存在不利因素,将及时采取相应的保全措施,控制投资风险。公司审计部门对资金使用情况进行监督。独立董事、监事会有权对资金使用情况进行监督与检查,必要时可以聘请专业机构进行审计。
五、对公司募集资金投资项目及日常经营的影响
公司最近一年一期的财务数据如下:
单位:万元
公司在确保募投项目正常实施和保证募集资金安全的前提下,使用闲置募集资金购买安全性高的保本型理财产品或保本型结构性存款进行现金管理,不会影响募投项目的建设和主营业务的发展,并且有利于提高募集资金的使用效率。此外,公司不存在负有大额负债的同时购买大额理财产品的情形。
六、本次使用闲置募集资金进行现金管理的决策程序
(一)董事会审议情况
2023年10月25日,公司召开第四届董事会第三十四次会议,审议通过了《关于使用部分闲置募集资金进行现金管理的议案》。本次使用募集资金现金管理事项无需提交股东大会审议。
(二)独立董事意见
公司独立董事认为:在确保不影响公司募集资金投资项目实施进度和保障募集资金安全的前提下,公司使用部分暂时闲置的募集资金进行现金管理,用于购买安全性高、流动性好、短期(不超过12个月)、保本型的理财产品或结构性存款,有利于提高募集资金的利用效率,符合《上市公司监管指引第2号一一上市公司募集资金管理和使用的监管要求(2022年修订)》《上海证券交易所上市公司自律监管指引第1号一一规范运作(2023年8月修订)》等相关法律法规的规定。公司使用部分暂时闲置的募集资金进行现金管理不会影响募集资金投资项目的正常实施和公司主营业务的正常发展,不存在变相改变募集资金用途的情形,不存在损害公司股东利益的情形。
综上,公司独立董事同意公司使用闲置募集资金不超过1.50亿元人民币适时进行现金管理,自公司董事会审议通过之日起12个月内可以滚动使用。
(三)监事会意见
2023年10月25日,公司召开第四届监事会第三十四次会议,审议通过了《关于使用部分闲置募集资金进行现金管理的议案》。监事会认为:公司使用部分暂时闲置的募集资金进行现金管理,用于购买安全性高、流动性好、短期(不超过12个月)、保本型的理财产品或结构性存款,有利于提高募集资金的利用效率,且符合相关法律法规的规定。公司使用部分暂时闲置的募集资金进行现金管理不会影响募集资金投资项目的正常实施和公司主营业务的正常发展,不存在变相改变募集资金用途的情形。因此,同意公司使用不超过1.50亿元人民币的闲置募集资金进行现金管理,自公司董事会审议通过之日起12个月内可以滚动使用。
(四)保荐机构意见
经核查,保荐机构认为:
恒润股份本次使用部分闲置募集资金进行现金管理事项已经公司第四届董事会第三十四次会议、第四届监事会第三十四次会议审议通过,独立董事发表了同意意见,该事项无需提交股东大会审议,公司已对该事项履行了必要的审批程序,符合《上市公司监管指引第2号一一上市公司募集资金管理和使用的监管要求(2022年修订)》《上海证券交易所上市公司自律监管指引第1号一一规范运作(2023年8月修订)》及公司募集资金管理制度等有关规定的要求。公司本次使用部分闲置募集资金进行现金管理有利于提高资金使用效率,不会影响募集资金投资项目的正常进行,不存在变相改变募集资金投向、损害公司及股东利益的情况。
综上所述,保荐机构对恒润股份本次使用部分闲置募集资金进行现金管理事项无异议。
特此公告。
江阴市恒润重工股份有限公司董事会
2023年10月26日
证券代码:603985 证券简称:恒润股份 公告编号:2023-074
江阴市恒润重工股份有限公司
第四届监事会第三十四次会议决议公告
本公司监事会及全体监事保证本公告内容不存在任何虚假记载、误导性陈述或者重大遗漏,并对其内容的真实性、准确性和完整性承担个别及连带责任。
江阴市恒润重工股份有限公司(以下简称“公司”)第四届监事会第三十四次会议于2023年10月25日在公司会议室以现场方式召开,会议通知已于2023年10月21日以书面方式发出,本次应出席监事3人,实际出席监事3人,会议由监事会主席沈忠协先生主持,本次会议召开符合《公司法》及其他法律法规和《江阴市恒润重工股份有限公司公司章程》的规定,合法有效。经全体监事认真审议,通过了以下议案:
一、审议通过《公司2023年第三季度报告》
表决情况:赞成3票,反对0票,弃权0票。
具体内容详见上海证券交易所网站(www.sse.com.cn)上披露的《江阴市恒润重工股份有限公司2023年第三季度报告》。
二、审议通过《关于使用部分闲置募集资金进行现金管理的议案》
同意公司在确保不影响募集资金投资项目和公司正常经营的情况下,使用部分闲置募集资金(不超过1.50亿元人民币)进行现金管理,适时向各金融机构购买安全性高、流动性好、短期(不超过12个月)的保本型理财产品或保本型结构性存款。以上资金额度自公司董事会审议通过之日起12个月内可以滚动使用。
表决情况:赞成3票,反对0票,弃权0票。
具体内容详见上海证券交易所网站(www.sse.com.cn)上披露的《江阴市恒润重工股份有限公司关于使用部分闲置募集资金进行现金管理的公告》(公告编号:2023-075)。
三、审议通过《关于使用部分闲置自有资金进行现金管理的议案》
同意公司及子公司在确保公司日常资金运营需求和资金安全的前提下,使用部分暂时闲置自有资金(不超过1亿元人民币)进行现金管理,适时向各金融机构购买安全性高、流动性好的理财产品、大额存单或结构性存款。以上资金额度自公司董事会审议通过之日起12个月内可以滚动使用。
表决情况:赞成3票,反对0票,弃权0票。
具体内容详见上海证券交易所网站(www.sse.com.cn)上披露的《江阴市恒润重工股份有限公司关于使用部分闲置自有资金进行现金管理的公告》(公告编号:2023-076)。
特此公告。
江阴市恒润重工股份有限公司监事会
2023年10月26日
证券代码:603985 证券简称:恒润股份 公告编号:2023-076
江阴市恒润重工股份有限公司
关于使用部分暂时闲置自有资金
进行现金管理的公告
本公司董事会及全体董事保证本公告内容不存在任何虚假记载、误导性陈述或者重大遗漏,并对其内容的真实性、准确性和完整性承担个别及连带责任。
重要内容提示:
● 委托理财受托方:商业银行、证券公司、资产管理公司等金融机构。
● 本次委托理财金额:不超过1亿元人民币,在上述额度内公司及子公司可滚动使用。
● 委托理财产品名称:安全性高、流动性好的理财产品、大额存单或结构性存款。
● 委托理财期限:自公司董事会审议通过之日起12个月内。
● 履行的审议程序:2023年10月25日,江阴市恒润重工股份有限公司(以下简称“公司”)召开第四届董事会第三十四次会议,审议通过了《关于使用部分暂时闲置自有资金进行现金管理的议案》,同意公司及子公司在确保公司日常资金运营需求和资金安全的前提下,使用部分暂时闲置自有资金(不超过1亿元人民币)进行现金管理,以上资金额度自公司董事会审议通过之日起12个月内可以滚动使用,并授权董事长在上述投资额度内签署相关合同文件,公司财务总监负责组织实施,授权期限为自公司董事会审议通过之日起12个月内。上述事项无需提交公司股东大会审议。
2023年10月25日,公司召开第四届董事会第三十四次会议,审议通过了《关于使用部分暂时闲置自有资金进行现金管理的议案》。在确保公司日常资金运营需求和资金安全的前提下,公司及子公司拟使用部分暂时闲置自有资金(不超过1亿元人民币)进行现金管理,适时向各金融机构购买安全性高、流动性好的理财产品、大额存单或结构性存款。以上资金额度自公司董事会审议通过之日起12个月内可以滚动使用,并授权董事长在上述投资额度内签署相关合同文件,公司财务总监负责组织实施,授权期限为自公司董事会审议通过之日起12个月内。上述事项无需提交公司股东大会审议。
一、本次现金管理的情况概述
为提高资金使用效率,公司及子公司拟使用部分暂时闲置的自有资金进行现金管理,具体情况如下:
(一)管理目的
在确保公司及子公司日常资金运营需求和资金安全的前提下,使用部分暂时闲置自有资金用于低风险的理财产品、大额存单或结构性存款,可进一步提高公司及子公司自有资金的使用效率,有利于提高公司的收益。
(二)资金来源
公司及子公司暂时闲置的自有资金。
(三)投资额度和期限
公司及子公司拟使用部分暂时闲置自有资金(不超过1亿元人民币)适时进行现金管理,以上资金额度自公司董事会审议通过之日起12个月内可以滚动使用。
(四)投资品种
投资产品品种为安全性高、流动性好的理财产品、大额存单或结构性存款。
(五)实施方式
在上述额度、期限范围内,董事会授权董事长在上述投资额度内签署相关合同文件,公司财务总监负责组织实施,授权期限为自公司董事会审议通过之日起12个月内。
二、风险控制措施
为控制风险,公司将严格遵守审慎投资原则,严格筛选发行主体,选择信誉好、资金安全保障能力强的发行机构。
公司及子公司拟投资的品种为安全性高、流动性好的理财产品、大额存单或结构性存款,该类产品的投资风险小,处于公司风险可承受和控制范围之内。
公司将及时分析和跟踪理财产品的投向进展情况,一旦发现或判断存在不利因素,将及时采取相应的保全措施,控制投资风险。公司审计部门对资金使用情况进行监督。独立董事、监事会有权对资金使用情况进行监督与检查,必要时可以聘请专业机构进行审计。
三、对公司日常经营的影响
公司最近一年一期的财务数据如下:
单位:万元
公司及子公司使用部分暂时闲置自有资金进行现金管理,不会对公司及子公司未来主营业务、财务状况、经营成果和现金流量造成较大影响,亦不存在负有大额负债的同时购买大额理财产品的情形。
在确保公司及子公司日常资金运营需求和资金安全的前提下,公司及子公司使用闲置自有资金进行现金管理,可以提高自有资金的使用效率,获得一定的投资收益,为公司股东谋取更多的投资回报。
四、本次使用闲置自有资金进行现金管理的决策程序
(一)董事会审议情况
2023年10月25日,公司召开第四届董事会第三十四次会议,审议通过了《关于使用部分暂时闲置自有资金进行现金管理的议案》。公司独立董事、监事会已对本次议案发表了明确同意意见。
(二)独立董事意见
公司独立董事认为:在确保公司及子公司日常资金运营需求和资金安全的前提下,公司及子公司使用部分暂时闲置的自有资金进行现金管理,用于购买安全性高、流动性好的理财产品、大额存单或结构性存款,有利于提高自有资金的使用效率,获得一定的投资收益,为公司股东谋取更多的投资回报,不存在损害公司及全体股东、特别是中小股东的利益的情形。我们同意公司及子公司使用不超过人民币1亿元的闲置自有资金进行现金管理,自公司董事会审议通过之日起12个月内可以滚动使用。
(三)监事会意见
2023年10月25日,公司召开第四届监事会第三十四次会议,审议通过了《关于使用部分暂时闲置自有资金进行现金管理的议案》。
监事会认为:公司及子公司使用部分暂时闲置自有资金进行现金管理,是在确保公司及子公司日常资金运营需求和资金安全的前提下进行的,用于购买安全性高、流动性好的理财产品、大额存单或结构性存款,有利于提高资金的使用效率,为公司股东谋取更多的投资回报。因此,我们同意公司及子公司使用不超过人民币1亿元的闲置自有资金进行现金管理,自公司董事会审议通过之日起12个月内可以滚动使用。
特此公告。
江阴市恒润重工股份有限公司董事会
2023年10月26日
证券代码:603985 证券简称:恒润股份 公告编号:2023-077
江阴市恒润重工股份有限公司
股票交易风险提示公告
本公司董事会及全体董事保证本公告内容不存在任何虚假记载、误导性陈述或者重大遗漏,并对其内容的真实性、准确性和完整性承担个别及连带责任。
重要内容提示:
● 江阴市恒润重工股份有限公司(以下简称“公司”)股票于2023年10月20日、10月23日、10月24日连续三个交易日内日收盘价格涨幅偏离值累计超过20%,公司已于10月25日披露了《江阴市恒润重工股份有限公司股票交易异常波动公告》(公告编号:2023-072)。2023年10月25日,公司股票再次涨停,公司股价短期波动幅度较大。敬请广大投资者注意交易风险,理性决策,审慎投资。
● 公司生产经营情况正常,内外部经营环境未发生重大变化。公司未来经营业绩受行业整体趋势影响,存在不确定因素。公司主要产品原材料价格变动等不确定因素将会对公司利润产生一定的影响。敬请投资者注意相关风险。
● 受风电行业影响,公司2023年前三季度实现营业收入124,699.79万元,比上年同期下降8.08%,归属于上市公司股东的净利润为5,806.18万元,比上年同期增长2.51%;公司2023年7月至9月实现营业收入40,055.79万元,比上年同期下降26.53%,归属于上市公司股东的净利润为275.29万元,比上年同期下降80.51%。公司提醒广大投资者注意公司经营业绩下滑风险,理性决策,审慎投资。
● 目前公司主营业务未发生改变,公司控股子公司上海润六尺科技有限公司(以下简称“上海润六尺”)向客户提供算力租赁等相关服务,收取算力租赁服务费等。上海润六尺于2023年8月2日成立,成立时间较短,该业务尚处于前期启动阶段,截止2023年9月30日,上海润六尺产生营业收入132.17万元,占公司营业总收入的0.11%,占比较小,对公司业绩没有重大影响。该业务后续经营过程中算力租赁服务价格可能受宏观经济及行业政策变化、技术迭代、市场竞争等多重不确定因素影响而发生波动,业绩存在不确定性。敬请广大投资者注意算力业务风险,理性决策,审慎投资。
● 近期公司股票价格波动较大,敬请广大投资者注意投资风险,理性投资。
公司股票于2023年10月20日、10月23日、10月24日连续三个交易日内日收盘价格涨幅偏离值累计超过20%,公司已于10月25日披露了《江阴市恒润重工股份有限公司股票交易异常波动公告》(公告编号:2023-072)。
2023年10月25日,公司股票再次涨停,公司股价短期波动幅度较大,公司现对有关事项和风险说明如下,敬请广大投资者注意交易风险,理性决策,审慎投资。
一、生产经营风险
公司生产经营情况正常,内外部经营环境未发生重大变化。公司未来经营业绩受行业整体趋势影响,存在不确定因素。公司主要产品原材料价格变动等不确定因素将会对公司利润产生一定的影响。敬请投资者注意相关风险。
二、二级市场交易风险
公司股票于2023年10月20日、10月23日、10月24日连续三个交易日内收盘价格涨幅偏离值累计超过20%,属于股票交易异常波动情形。2023年10月25日,公司股票再次涨停,公司股价短期波动幅度较大,敬请广大投资者注意二级市场交易风险,理性决策,审慎投资。
三、经营业绩下滑风险
受风电行业影响,公司2023年前三季度实现营业收入124,699.79万元,比上年同期下降8.08%,归属于上市公司股东的净利润为5,806.18万元,比上年同期增长2.51%;公司2023年7月至9月实现营业收入40,055.79万元,比上年同期下降26.53%,归属于上市公司股东的净利润为275.29万元,比上年同期下降80.51%。公司提醒广大投资者注意公司经营业绩下滑风险,理性决策,审慎投资。
四、算力业务风险
目前公司主营业务未发生改变,公司控股子公司上海润六尺向客户提供算力租赁等相关服务,收取算力租赁服务费等。上海润六尺于2023年8月2日成立,成立时间较短,该业务尚处于前期启动阶段,截止2023年9月30日,上海润六尺产生营业收入132.17万元,占公司营业总收入的0.11%,占比较小,对公司业绩没有重大影响。该业务后续经营过程中算力租赁服务价格可能受宏观经济及行业政策变化、技术迭代、市场竞争等多重不确定因素影响而发生波动,业绩存在不确定性。敬请广大投资者注意算力业务风险,理性决策,审慎投资。
五、其他风险
公司郑重提醒广大投资者,有关公司信息以公司在上海证券交易所网站(www.see.com.cn)和公司指定信息披露媒体《中国证券报》《上海证券报》《证券时报》上刊登的相关公告为准,敬请广大投资者理性投资,注意投资风险。
特此公告。
江阴市恒润重工股份有限公司董事会
2023年10月26日














